«ПРОФЕСІЙНИЙ БУХГАЛТЕР»:
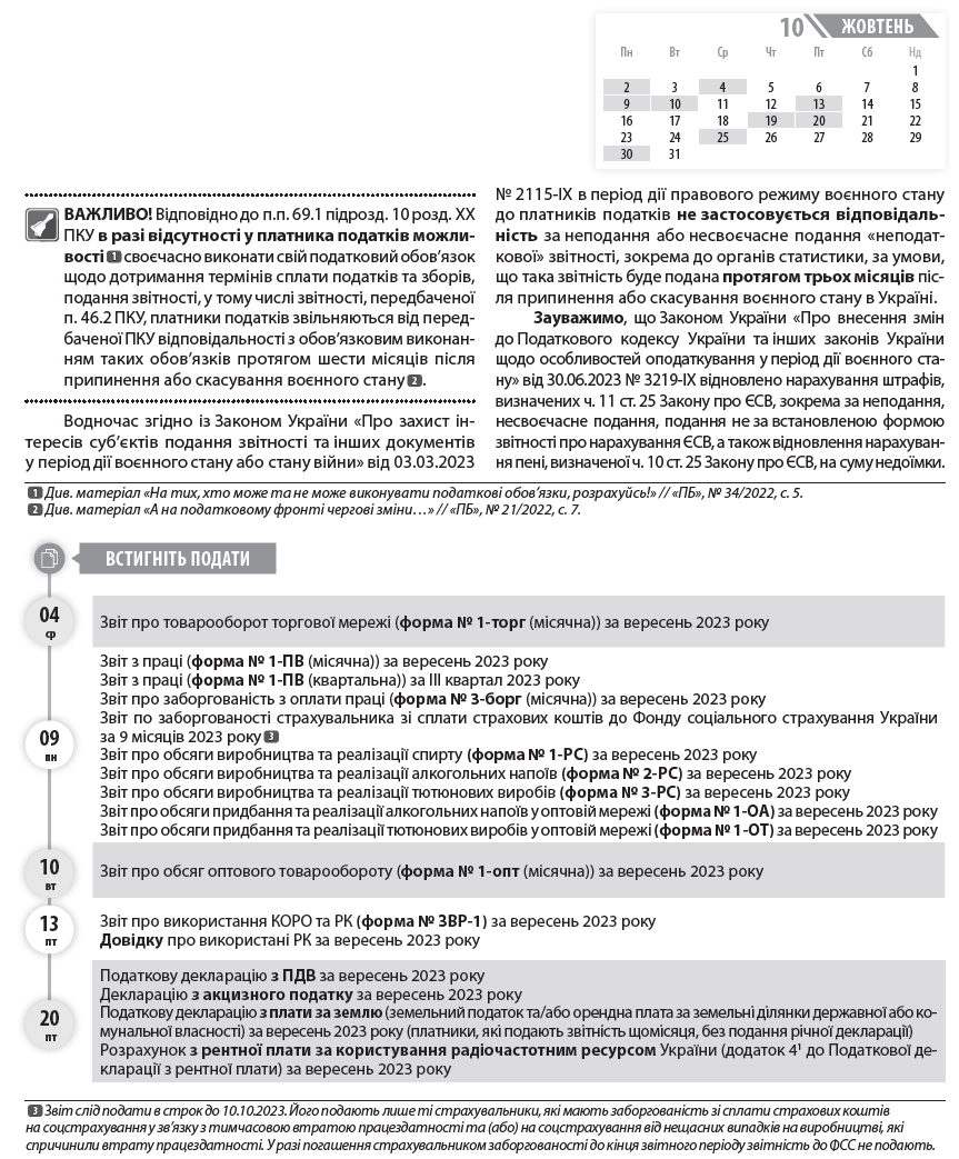
Календар бухгалтера та ФОП на жовтень 2023 року


__________________________________
- ПКУ.
- «На тих, хто може та не може виконувати податкові обов’язки, розрахуйсь!» // «ПБ», № 34/2022 с. 5.
- «А на податковому фронті чергові зміни…» // «ПБ», № 21/2022, с. 8.
- Закон України «Про захист інтересів суб’єктів подання звітності та інших документів у період дії воєнного стану або стану війни» від 03.03.2022 № 2115-IX.
- Закон України «Про внесення змін до Податкового кодексу України та інших законів України щодо особливостей оподаткування у період дії воєнного стану» від 30.06.2023 № 3219-ІХ.
- Закон про ЄСВ.
- Перелік територій, на яких ведуться (велися) бойові дії або тимчасово окупованих російською федерацією, затверджений наказом Мінреінтеграції від 22.12.2022 № 309.
- Повний перелік форм державних статистичних спостережень на 2023 рік.
- Терміни подання форм статистичної та фінансової звітності.
- Перелік статистичних форм за кодом ЄДРПОУ.
- Закон України «Про офіційну статистику» від 16.08.2022 № 2524-IX.
- Безкоштовний сервіс для електронного звітування за статистичними звітами «Кабінет респондента».





