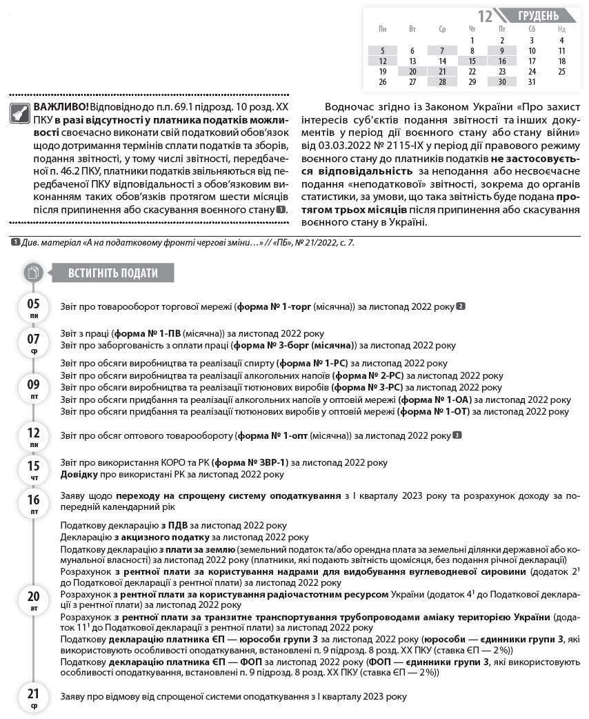
Календар бухгалтера та ФОП на грудень 2022 року


_________________________________
- ПКУ.
- «А на податковому фронті чергові зміни…» // «ПБ», № 21/2022, с. 7.
- Закон України «Про захист інтересів суб’єктів подання звітності та інших документів у період дії воєнного стану або стану війни» від 03.03.2022 р. № 2115-IX.
 
                     
                                 
                                 
                                    





 
													 
 
    